首页
联系我们
您现在所在的位置:首页  首页  学术活动
买球赛十大平台十大买球官方网站首次在Nature工程领域子刊Communications Engineering发表研究成果!


近日,十大买球官方网站吴成东教授团队最新研究成果“A deep learning framework based on structured space model for detecting small objects in complex underwater environments”国际著名学术期刊Nature的首个工程领域子刊Communications Engineering在线发表。买球赛十大平台庄曜铭特聘副研究员、2024级研究生刘佳明为论文共同第一作者,买球赛十大平台为第一完成单位,通讯作者为庄曜铭。

成果介绍

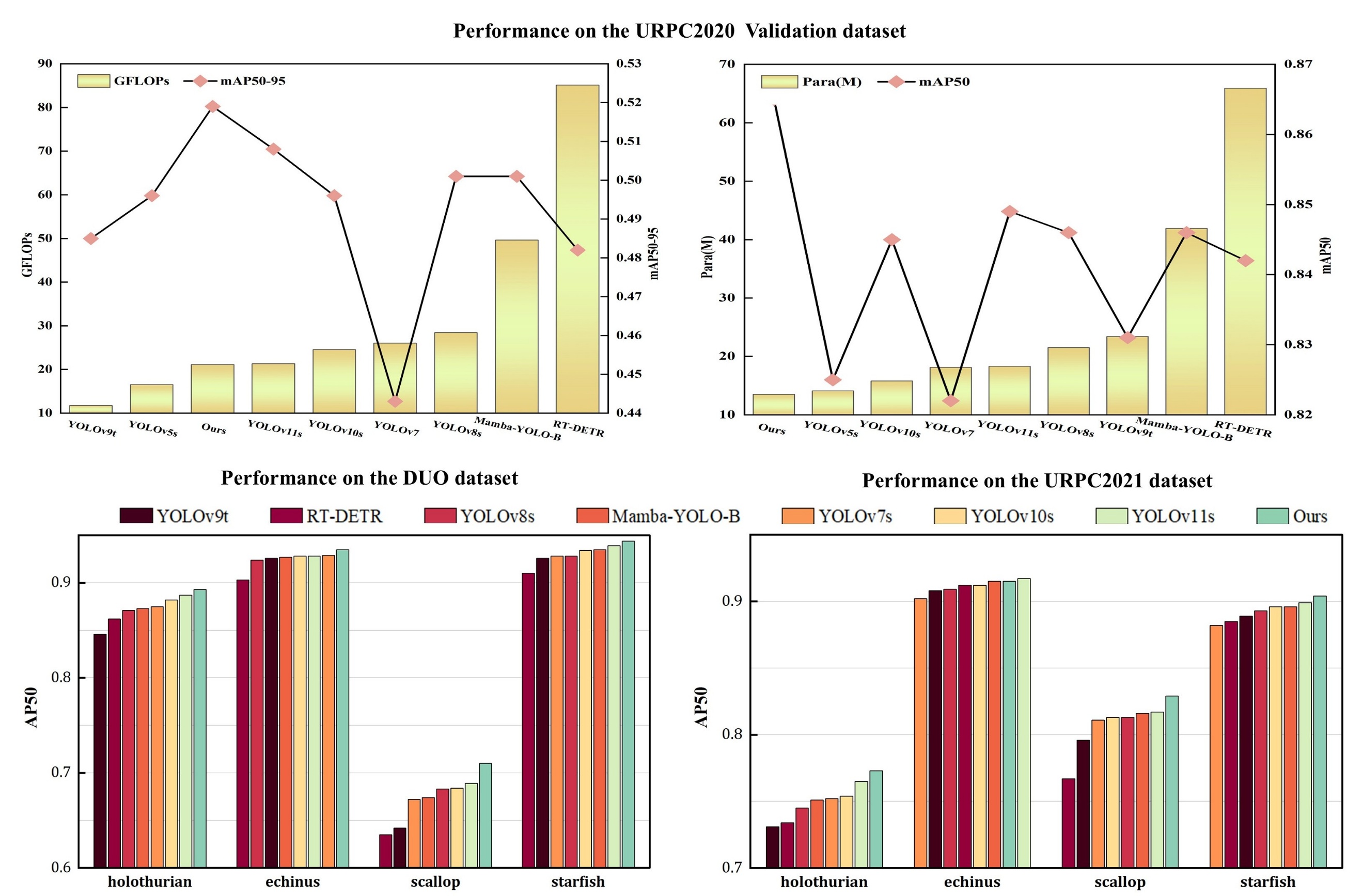
该成果创新性地融合前沿的Mamba模型与卷积神经网络(CNN),提出了一种专用于水下目标检测的轻量化混合架构。通过结构化状态空间模型(SSM)与CNN的协同设计,成功攻克了传统算法在全局建模能力不足和计算复杂度高两大难题,并同步实现了检测精度与硬件计算负担的双重优化。实验结果表明,该框架在多个公开数据集上表现优异,不仅显著提升了检测精度,还大幅优化了计算效率。这一创新性解决方案为海洋资源开发与生态监测提供了兼具高效性和实用性的技术支撑,并在工程应用中展现出巨大的潜力和广阔的应用前景。

1 文章研究路线图

2 文章关键实验结果图

据悉,该研究成果为买球赛十大平台十大买球官方网站在《自然》(Nature)工程领域子刊《通讯-工程》(Communications Engineering)上发表的首篇论文。《通讯-工程》作为《自然》(Nature)首本专注于工程领域的子刊,自2022年创刊以来总发文量为354篇,年均发文量不超过100篇。

全文链接:https://www.nature.com/articles/s44172-025-00367-9