近期,十大买球官方网站聚焦机器人领域的智能导航、自主编程、交互协作的交叉共融开展研究,取得了系列原创性研究成果。
共融机器人代表了智能机器人技术发展的未来趋势,其所涉及的非结构环境中的多模态感知与情景理解、基于生物信号的行为意图理解、人机自然交互、机器人个体自主与机器人群体智能,一直是国际智能机器人领域的挑战性研究课题。
在移动机器人智能导航方面,研究成果“Real-time 3D Single Object Tracking with Transformer”被多媒体领域国际顶级期刊《IEEE Transactions on Multimedia》(中科院一区Top,JCR一区)录用,将于2022年末正式出版。该成果旨在研究移动机器人在三维点云场景下的目标跟踪任务。通过探究三维点云数据稀疏特性给目标跟踪带来的挑战,该项研究提出了将孪生网络以及Transformer结构有机结合的PTT-Net网络(图1),有效地解决了远距离或遮挡情况下点云过于稀疏而导致目标跟踪效果不佳的问题,对于推动智能机器人环境感知研究发展具有重要价值。

图1 PTT-NET网络框架
在机器人自主编程方面,研究成果“Joining Force of Human Muscular Task Planning with Robot Robust and Delicate Manipulation for Programming by Demonstration”在国际机器人领域顶级期刊《IEEE/ASME Transactions on Mechatronics》(中科院一区、JCR一区)上正式发表。该项成果通过研究解决机器人非结构环境下的演示者自然行为辨识、复杂力/位混合装配过程建模与装配技巧的自主编程等科学问题,形成了一套完整的机器人柔性装配理论和技术,实现非结构化环境下的多种类、精密高效的人-机协作装配(图2)。此项研究将能够降低机器人使用门槛,拓展工业机器人在电子制造领域应用,提高产品的生产效率与产品质量。具有十分重要的理论研究价值和潜在的市场应用价值。

图2 基于骨骼肌肉系统演示的机器人自主编程
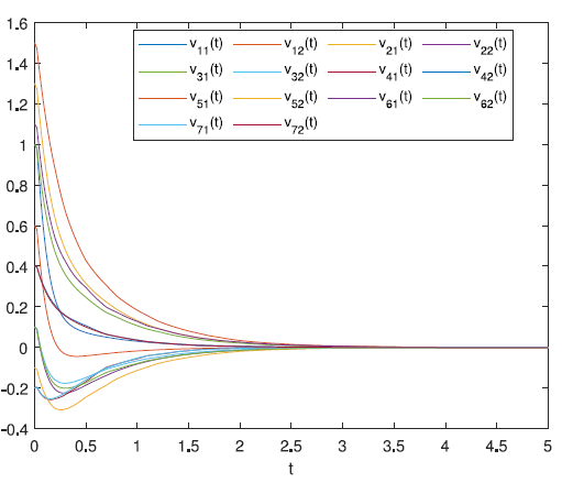
在多机器人交互协作方面,研究成果“Dissipativity-Based Consensus Tracking Control of Nonlinear Multiagent Systems With Generally Uncertain Markovian Switching Topologies and Event-Triggered Strategy”在控制论领域顶级期刊《IEEE Transactions on Cybernetics》上发表,将于2022年11月正式出版。该研究针对具有外部扰动的时变时滞非线性多智能体系统,考虑了具有不确定性和部分未知元素的广义不确定马尔科夫跳变切换拓扑结构,建立了模态依赖的分布式协议和事件触发机制,从而减少不必的通信负担,提出了一种模态和时滞项依赖的增广多重积分能量函数分析方法,解决了干扰情况下的非线性多智能体系统的领导者和跟随者耗散一致性跟踪控制问题,为实际场景下的多机器人交互协作提供了理论基础(图3)。


图3跟随者的事件触发时刻以及领导者和跟随者的状态误差
上述研究成果得到了国家重点研发计划专项“工业机器人伺服系统产品性能优化及工程化应用”、国家自然科学基金重点项目“面向智能工厂的人机协作型机器人协同机理与控制技术研究”的资助,获得了辽宁省机器人智能感知与交互技术工程研究中心与沈阳市智能机器人重点实验室的支持,相关成果分别由十大买球官方网站专任教师方正、王斐和王军义等完成。基于上述成果,十大买球官方网站已携手十大买球官方网站,以习近平总书记强调的“四个面向”为指导思想,以解决机器人领域世界科学难题和服务国家重大战略需求为目标,持续在国家经济主战场和人民生命健康领域发挥“机器人+”的作用,积极开展智能机器人领域的交叉研究并探索该领域科技创新领军人才培养的新范式。